MEMBERSHIP APPLICATION FORM

Please email marilynbernard54@gmail.com and a membership application form will be emailed back to you. This code of ethics will also be sent for signature and must accompany the application back to me.

 

 

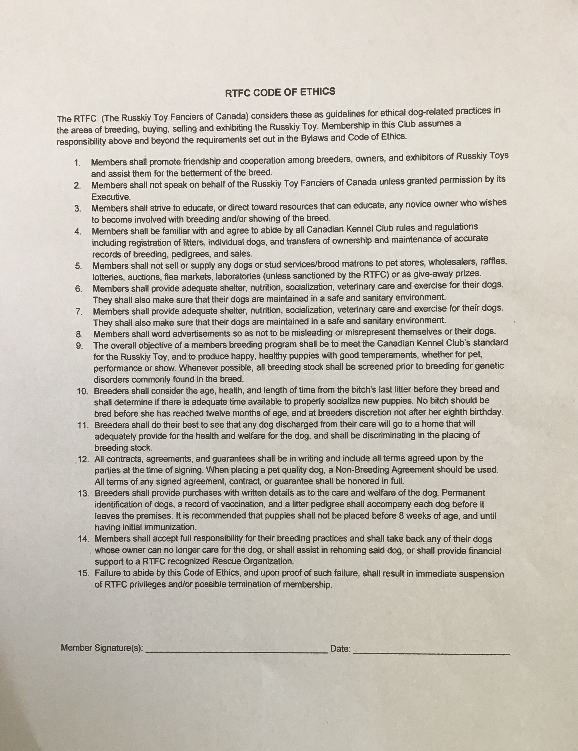
CODE OF ETHICS